六院本部
口腔医院
网站首页
医院概况
医院简介
领导介绍
医院沿革
医院环境
先进设备
医院荣誉
就医指南
预约挂号
就诊须知
出诊排班
医保服务
院内导航
来院交通
报告查询
新闻中心
医院新闻
媒体报道
数字院刊
视频中心
科室导航
内科
外科
妇儿
五官科
门诊
医技科室
专家团队
内科
外科
妇儿
五官科
门诊
医技科室
党群工作
党的建设
身边榜样
党风廉政
党建引领
精神文明建设
意识形态
专题专栏
通知公告
通知信息
招标公告
人才招聘
科研教学
科研成果
学术活动
教育培训
健康科普
健康资讯
科普视频
健康体检
中心介绍
体检预约
检前须知
体检套餐
报告领取
×
搜索过于频繁,请输入验证码
×
搜索过于频繁,请输入验证码
首页
/
安阳市第六人民医院
/
通知公告
/
人才招聘
/详情
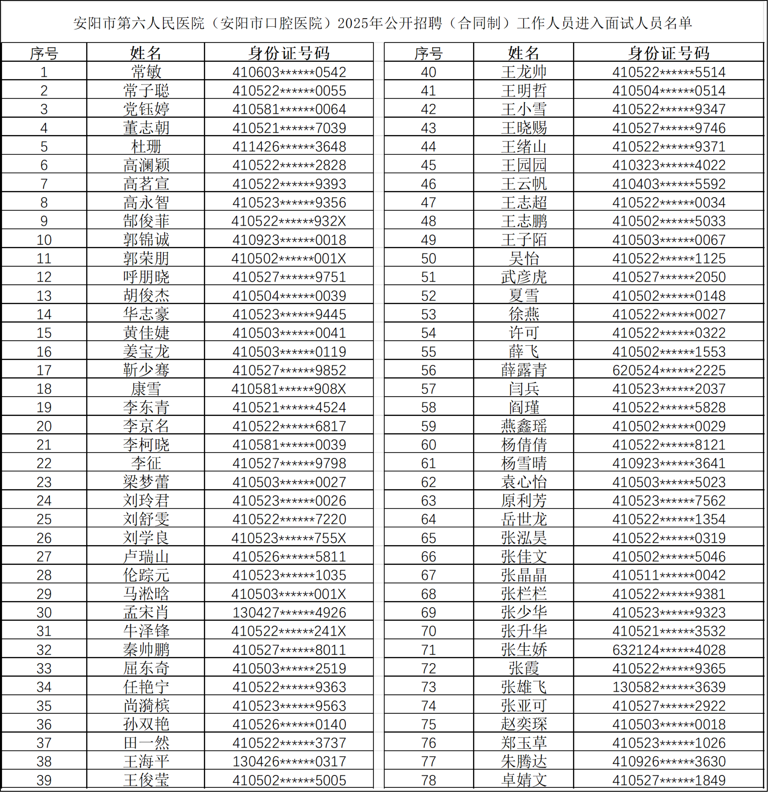
安阳市第六人民医院(安阳市口腔医院)2025年公开招聘(合同制)工作人员笔试成绩查询及进人面试人员名单公告
发布时间:2026-01-10
点击数:
次
现将安阳市第六人民医院(安阳市口腔医院)2025年公开招聘(合同制)工作人员笔试成绩及进入面试人员名单予以公示。
附件1:笔试成绩查询链接
分享到:
返回列表
暂无资料
联系我们
六院本部
地址:安阳市文峰区中华路北段2号
咨询电话:0372-2998888
急救电话:0372-2561619
口腔医院(西区)
地址:安阳市文峰中路北段68号
咨询电话:0372-5965555
口腔医院(东区)
地址:安阳市中华路与紫薇大道
交叉口西南角
咨询电话:0372-5020100
安阳市口腔医院(铁西院区)
地址:安阳市梅东路与清风街
交叉口向东100米路南
咨询电话:0372-5966012/0372-5966013
关注我们
六院医院公众号
六院医院订阅号
口腔医院订阅号
隐私条款
法律声明
网站地图
联系我们
Copytight © 2024 All Rights Reserved. 版权所有:安阳市第六人民医院(安阳市口腔医院)豫ICP备19025841号-3 技术支持:
技术支持:医创科技